- 2345
- 0
东海当路王氏宗谱总目录

【三槐堂当路王氏向连云港市民俗博物馆赠送族谱】12月6日上午,市民俗博物馆举行三槐堂当路王氏向民俗博物馆赠送《东海当路王氏族谱》仪式。据悉,当前连云港市申报创建国家级历史文化名城,当路王氏宗祠于2018年11月获市第五批文物保护单位,《东海当路王氏宗谱》被省市博物馆收藏。

东海当路王氏宗谱总目录
第一卷
一 前言
二 凡例
三 祭文
四 序言
五 祖训
六 东海当路王氏族人守则
七 东海当路王氏源流
八 恩荣
九 里居
十 宗祠
十一 丘墓
十二 艺文
十三 稽考
十四 黄帝世系
十五 太子晋世系
十六 东海当路王氏世系
十七 玘公长房(谦)世系
十八 玘公二房(证)世系
十九 玘公三房(让)世系
二十 玘公四房(议)世系
第二卷
一 玘公五房(谏)长支(景)灌南大北租地朝元公世系
二 玘公五房(谏)二支(昂)世系索引
东海石榴杨圩玉龙公世系
当路玉时公世系
当路玉年公世系
当路玉春公世系
赣榆大京公世系
赣榆罗阳墩尚大运公世系
当路大绍公世系
东海县房山林幢灌云县穆圩葛庄大有公世系
当路大本世系
赣榆埠上石门头东海县石良河启俸公世系
东海县黄川下河套启敬公世系
三 玘公五房(谏)三支(昇)世系索引
赣榆罗阳东辛农场启中公世系
第三卷
一 玘公五房(谏)四支(昞)世系索引
灌云侍沟五山头启远公世系
灌云伊山神仙洞启怀公世系
灌云穆圩王庄晔公世系
沭阳西圩湾大金公世系
赣榆厉庄尖岭玉秉公世系
东海县山左口大王庄袭公世系
山东莒南相沟王家三义口卿公世系
东海县石榴孔岭临祥公世系
二 玘公五房(谏)五支(杲)世系索引
沭阳周车必守公世系
赣榆罗阳南大沙必宁公世系
东海县石榴讲习玉珍公世系
沭阳华冲丁庄君实公世系
灌去白蚬克仁公世系
东海县横沟甘吉汪芳公世系
东海县青湖王朱周弘基公世系
连云港猴嘴来徐公世系
三 山东诸城七吉东武彦明公世系
四 东海县南辰王朱樊璋公世系
五 连云港海州区新坝后堆九鼎公世系
六 山东临沭利城献金公世系
七 山东临沭白莲峪王氏—灌云龙苴继爱公世系
八 当路归公十四代世系存稿
第四卷
一 赣榆兴庄伯敬公世系
二 赣榆垒墩伯政公世系
第五卷
一 郯城珩头乾公世系
二 郯城王桥坤公世系
三 人物
四 评传年谱
五 贤祖懿行
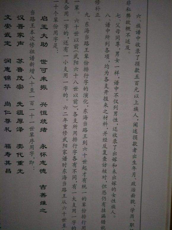
六 新续三十二个辈序用字
七 辈序对照表
八 领谱字号
九 修谱记事
十 跋
十一 附录
十二 后记
东海当路王氏源流
清代学者钱大昕在评论《唐书-宰相世系表》时认为,包括唐代多位首辅在内的世家牒谱,多数存在“记近事则有征,溯远胄则多舛”的瑕疵,主要原因是“由于信谱牒而无实事求是之识”。这个观点除了在忽视宗谱的民俗学特征方面存在偏颇之外,大抵是精当中肯的。
推究东海当路王氏的源流亦未敢轻言精详,只能依据比较可靠的史料叙其大略。
东海当路王氏的本源来自华夏人文初祖黄帝。《史记-五帝本纪》载,黄帝为少典之子,姓公孙,居轩辕之丘,故称轩辕氏。母曰附宝,之祁野,感北斗而孕,生黄帝于寿丘,即山东曲阜县东北郊。及长为有熊国君,后统一北方,以土德王,故曰黄帝。因其生活于姬水,又改公孙为姬姓。
黄帝传玄嚣,三传而至后稷,为西周始祖。十四传而至文王姬昌,于渭水姜尚,部落大盛,至武王姬发终灭商而建西周,京于镐。十传而至幽王宫湟,国势大衰,再传平王宜臼,乃迁都洛阳,是为东周。十一传至灵王泄心,初立太子晋为储君,因其直谏废为庶人,由其弟姬贵嗣为景王。
姬晋后裔宗敬,官至东周司徒,时人号曰王家。《潜夫论-志氏姓》载,宗敬“其嗣避周难于晋,家于平阳,因氏王氏”。其时已届春秋战国。宗敬十四传而至王元,秦际入仕,频阳高第,其孙翦、曾孙贲、玄孙离为大将终灭六国。王元之子(虫蜀),(虫蜀)生子熙。熙公秦末仕于南阳,为郡尉、寻因不满暴秦苛政而去官避居彭城,遂占籍沛县。熙公为东海当路王氏一世祖。
熙子陵公,初为沛邑豪士,秦末大乱,西入南阳,凭借乃父郡尉宿望及高第名专用聚众数千人。刘邦还击项羽,陵以其兵属之从定天下,因功于汉高元年八月甲子封安国侯,食邑五千户。惠帝即位遵高祖之嘱迁陵 为右丞相,家于长安。汉高二十一年,陵公卒,其子忌于高后八年嗣袭哀侯,子斿孙辟方俱袭侯爵。辟方生二子,长定次乘。定于元狩二年袭侯爵,元鼎五年坐酌金免,因惧祸离京北上,游于燕幽之间,后其弟长安公乘,襄昭复其家,定公进退失据竟占籍涿州高阳,寻卒。定子尊,字子赣,少孤,家贫不能立,为人牧羊。及长博学通史,太守除为辅书佐,后为美阳令。元帝幸雍地,以尊为高第之后擢为安定太守,迁益州刺史,寻荐为东平王相,因直谏不容于王被免为庶人。后大将军王凤奏请尊为司隶校尉,又改任京兆尹,由于触犯权贵再度免官。尊乃游历天下,至东海郡朐县,采山钓水,见雅景可观,以为后世必出人杰,顿萌云栖之志,遂筑庐卜居于山阿,此地即后之云台山当路村。未几,成帝沸于民意,又起尊为徐州刺史。后卒于东郡太守任上。尊子仲入仕京兆尹,不久免官,深以为宦海险恶,乃遵父嘱举家避居东海朐县,遂占籍于此。当路王氏向奉尊公为东海开基祖。传五世,子孙日繁,分居于东海诸县。王魁之玄孙翼,生子超,超生朗,为十四世。朗以经学入仕,东汉末为会稽太守,入曹魏为大司徒。其子肃继家学入晋为卫将军,生女元姬,嫁文帝司马昭,生武帝,封文明皇太后,其兄弟八人俱跻仕封爵,东海王氏遂成名门而开一代新派,显贵两晋数百年。
肃之子虔,生隆,隆生景,景生雅,雅生准之,准子生僧修,为二十二世祖,祖孙俱仕宦。僧修六传至福畴,福畴七传至锦,为三十六世。锦生言,任黎阳令,占籍大名莘县。言子彻,后唐五代同光年间状元,官左拾遗。彻子祜,宋太祖时任监察御史,因直道不容于时,尝于庭中植三槐明志,以为后世必有为三公者。后其次子王旦果拜相位列三公,乃以三槐名其祠堂。至此,东海当路王氏始有三槐堂号。
旦公后裔多名公显宦,能世其家,入南宋枝传四方,至元代家声稍减。明中期,当路本支崛起,嫡派后裔规公中举入仕,其孙璟以进士济美。传至五十九世,鸣鹤公以武进士跻仕,以功累迁两广总兵,晋都督世袭侯,万历朝誉为“天下将才第一”,文采武略独步于时。家声播于淮海,子孙均能克绍箕裘。清一代,当路王氏再传嫡派潍县人寿彭公,以状元而抚湖广,清末王氏嫡裔东海朱范得胜公以军功迁江西南赣镇总兵,官极首品,一洗寒素,门楣得以重光。民国以降,当路王氏后裔枝繁叶茂,分居苏北鲁南二十一个县市,支属七十余派,迄今已繁衍至八十代,蔚为茂族,蜚声海内。
(王统葆)
(王恒飞,王统葆,王统岗主编《三槐堂东海当路王氏宗谱》, 2006)

东海当路王氏的三次迁徙
连云港市云台山区当路庄,是东海当路王氏的发祥地。家谱记载,王氏在当路立庄,始于汉哀帝元年(公元前6年),至今已有2020年的历史,世系已经延续了80多代。当路王氏作为一个历史久远、人口众多、分布较广、人才辈出的望族,不仅在苏北鲁南地区是名门望族,在全国也有较大的影响。著名历史文化学者王大良、夏志刚,在其撰写的中国大姓《周吴郑王》一书中,曾这样描述王姓在全国的分布状况:“以河南、山东、山西为主,河北、陕西、江苏(苏北)、安徽(皖北)次之。”今日当路王氏主要分布在苏北海属和鲁西南地区所辖诸市县,与《周吴郑王》一书的记载完全吻合。
当路王姓经过2000多年的生息繁衍,已形成了以连云港市为中心,不断向周边地区拓展的分布格局。当路王氏历史上除了正常的人口流动,主要有三次较大规模的迁徙,其路线也分三条。清早期以前,云台山一直矗立于大海之中,当路庄也近海。康熙五十一年(1712年),郯城发生了强烈的地震,海水缓慢向东退去,150年后,沧海变桑田,云台山才与陆地完全相连。由于人口的不断增加,而当路庄山上山下可耕地有限,为了生存,历史上,王氏先民从未停止过向外迁徙,时间集中、规模较大的首次外迁是在明朝初年,路线是北上入鲁南。其时,明朝政权初建,海防松弛,而邻近的日本国因内乱,大量浪人和武士结伙窜至东南沿海抢掠,海州湾也深受倭寇荼毒。据《筹海图编》记载:“仅洪武年间东海一带遭倭患就有七次。”为了维护海防的安全,朝廷实行禁海政策,“寸帆不许下海”。海洋渔业和对外商贸之路断绝,沿海一带反而出现了民众“市通转寇为商,市禁则转商为寇”的怪现象。由于海禁失败,洪武十二年(1370年),朱元璋开始实行移民屯垦政策,动员人口稠密地方的居民,向人口稀少的地区迁移。此间,当路庄王氏大多数流徙于鲁南近海陆地的沂州、青州等地乡村安家落户。如王氏54世孙兄弟七人(后人通称“七老入鲁”)同时迁出当路。查七兄弟排行为伯敬、伯政、明、亮、玉、良臣、义臣。敬公落户于赣榆兴庄,政公安家于赣榆垒墩,明公置业于烟台,亮公与义臣公客于沂水,玉公迁于安邱,良臣公卜于五莲(中共一大代表王尽美是其后裔),义臣公迁居抬头庄。此次重修当路王氏宗谱,除了明公的后人外,其余各支都已取得联系。这次流徙鲁南的王氏先民,多合族而居,形成一个个以王姓为主的村庄,至今已繁衍了20多代。人口数以万计。
第二次规模较大的迁徙是在清顺治十八年(1661年),路线是西上入鲁西郯城一带,以及海、赣、沭等地区。其时,清王朝为了严防海盗和倭寇的侵扰,尤其是复明势力的坐大,下诏“裁海”,以沿海岛屿为“境外”,令居岛民众向陆地迁移,故当路王姓被迫迁出。17年以后,康熙帝宣布“复海”时,迁出人口中已有多家在当地生根,没有再回岛上。
第三次是在清道光至光绪年间(1831-1908年),其路线是南上入淮北盐区。其间两江总督兼理盐政陶澍和两江总督、盐政大臣端方,都致力于开发盐业,先后将中正盐场的小浦至东辛一带的盐滩废掉,而在东陬山一带重新建滩,就近取海水制盐。后又在灌河西岸乐丰镇(今洋桥镇)一带大规模铺滩,旋即再发展到灌河东岸。所征盐民,绝大多数来自云台山区,而当路王氏是建滩盐民中人数较多的一支。时至今日,在淮北六大盐场盐工总人数中,当路王姓位居第一。据1999年编写的《徐圩盐场志》:全场职工总数为1931人,分属142姓,王姓职工为213人,占职工总数的11%,居各姓之首,而王姓职工中的95%以上为当路王姓。 当路王姓后裔在盐场枝传已历164年凡八代左右,人口近万人。 在当路王姓主要分布区海属(今连云港古称海州,辖灌云、灌南、东海、赣榆、沭阳等县),以及鲁西南地区,长期流传着有关姓氏方面的民谣:“三张六李十二王”,“无王不成庄”,“是王多是三槐堂”。民谣折射出鲁西南和淮北盐场两地区王姓是大姓,当路王氏在王姓中又占绝大多数的事实。在上述地区,以王姓命名的村庄近百个,王庄、大王庄、小王庄、王荡、王集、王巷、王家庄等村名到处都有,个别村庄数千人口,95%以上竟是当路王氏的后裔,几乎每一个乡镇都有一支或数支当路王氏的支系。如东海县的石榴乡,就有前王庄、讲习村、新隆村、杨圩村、孔岭等五支当路王氏的后裔。时至今日,以当路为中心,在周围约五百公里的范围内,居住着大量当路王氏的后裔。根据当路王氏家谱,通过与前来寻根认祖的各支系后人的交谈以及修谱人员赴各地寻访联络,现已基本摸清了目前当路王氏的分布状况:以苏省的连云港市区、淮北盐场、东海县、赣榆县、灌云县 、灌南、沭阳县和山东省的郯城县、临沭县、莒南县、五莲县、沂水县、诸城市为主,江苏省的响水县、灌南县和山东省的日照市、胶南县次之的分布格局。部分支系还迁到了江苏省的淮安、宿迁、新沂以及山东省的蓬莱、潍坊、寿光、烟台等市县。当路王姓中也有少数远涉重洋至海外谋生,如连云港市墟沟王公玙的后人已侨居美国。 明清以来当路王氏繁衍的近枝后裔总数已达数十万人,但至今他们仍未忘记东海故郡古朐县云台山区当路村是他们的祖居地。
(王统岗 当路王氏七十世孙)





清朝老祖宗怎么分配家谱?不是人手一份哦
清代,民间修谱的风气盛行。因为时代开放,修谱解禁,所以家谱流传也更广阔。
现在海外各地收藏的中国族谱,大多数是清代时候修撰的。而清代各个族姓修撰族谱时,往往在准备告成时,规定保存收藏家谱的办法:
如果家中只有缮写本,或者虽然有刊印本,但数量有限的,必须标明领谱人的房派,和约定好保存收藏的规则。
道光八年,广东新会黄英炒等修撰的《紫泥黄学录房家谱》,缮写本上的修谱范例就有明确规定。每一本都一样,一本存在箱中,其它六本由各房主事的人收藏,以此杜绝擅自注释修改家谱的弊病。
日后重新拿出家谱校对,如果发现家谱被擅自更改,负责收藏的人将会受到惩罚。
收藏家谱时,请务必珍重爱惜,不能保管不善,把族谱放在太过潮湿或者燥热的地方,导致腐朽剥落。
光绪十四年山阴许在衡等修的《碧山许氏宗谱》记载了家谱收藏的方法:
1、祠堂藏谱一部,(庋正堂梁间、非伏晾不得擅启)。
家谱必须封好,放置在祠堂正座的梁上。每年夏季,必须要打开晾晒,以防潮湿发霉。此外的其它时候,族中任何人不能擅自打开。
家谱箱
2、家塾藏谱一部,(此为颁胙肉给首查封名行而设)。
每年祭祖结束后,祭祖剩下的肉和祭品要分给科举考试获得第一名的人,所以家塾中要藏族谱一部,等分肉到人的时候,翻出来查阅这个人平时的品德、行为是否良好。
3、族长、藏谱一部,传守;宗孙、藏谱一部,世守;大房、二、三、四、五、六、七、八各房房长藏谱一部,传守。
族长收藏族谱一部,各房房长可以收藏一部,由历届担任这个职位的人保管,这个人退下后,就由下一个接替的人保管。
宗孙收藏一部,由这个人的子孙或者这房的子孙世代保管收藏。
4、首创谱牒克敦公派下、藏谱一部,世守;助创谱牒功立公派下、藏谱一部,世守;佐辧新谱雨昌房、藏谱一部,世守;佐辧部寅房、藏谱一部,世守;佐辧部寅房、藏谱一部,世守;佐辧新谱孟亭房、藏谱一部,世守;捐资总辧新谱芨云房、藏谱一部,世守。
第一个修撰家谱的支派,在修谱过程中参与修谱、捐资的支派都可以领谱一本,子孙世代保管收藏。
道光十六年,何家琛等修《京江何氏支谱》所载给谱字云:
天字号、十四世孙主修族尊雍若领;
地字号、十四世孙分尊寿安领;
元字号、十五世孙撰修学易领;
黄字号二分、十四世孙文采领;
宇字号二分、十五世孙富田、荣田、祥田合领;
宙字号二分、十六世孙渭川、孝美合领。……
所谓的“主修族尊”,是只指该族当时辈分与资望皆最高而又为主持修撰该谱的人。
所以我们知道清代各巨族,对族谱之分配领藏,非常的重视。能领藏谱谱的人,不是族中各房特别有资望的长辈,就是曾参与撰修的人,和曾出巨资以刊修该族谱的人。
而祠堂与家塾则按照惯例必定置公箱,以保存该族谱。












